EXPERIENCIA DE APRENDIZAJE 6
• Título: Nos preparamos para afrontar las heladas y el friaje de manera innovadora • Ciclo y grado: Ciclo VII (5.° de secundaria) • Áreas: Ciencia y Tecnología |
COMPETENCIA | CRITERIOS | ACTIVIDADES |
Explica el mundo físico basándose en conocimientos sobre los seres vivos, materia y energía, biodiversidad, Tierra y universo. | • Explica el funcionamiento del tecnopor de quinua aplicando conceptos científicos como la transmisión de calor. • Describe cómo el tecnopor de quinua influye en la calidad de vida de las personas cuando se presentan heladas y friaje. | Actividad 3: Comprendemos los problemas que generan las heladas y el friaje en nuestro país. |
Producción: Propuestas de solución para prevenir y enfrentar el impacto de las heladas y el friaje |
SITUACION SIGNIFICATIVA Año a año, los fenómenos climatológicos, como las heladas y el friaje, afectan el bienestar de las familias y la producción agrícola y ganadera. Esta situación perjudica y disminuye la capacidad de satisfacer necesidades básicas, como la alimentación, y la demanda de productos agrícolas y de especies pecuarias del mercado local, regional, nacional e internacional. Ahora, nos preguntamos: ¿Qué soluciones podemos proponer para prevenir y enfrentar las consecuencias de las heladas y el friaje, con el propósito de promover el bienestar de las familias impulsando la producción agrícola y ganadera? |
Enfoques transversales |
• Enfoque ambiental • Enfoque de derechos • Orientación al bien común |
https://www.youtube.com/watch?v=JFxzAUN8-so
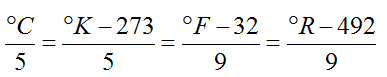
5.° grado Calor y temperatura Temperatura Si un cuerpo se encuentra a mayor temperatura, indica que las partículas que lo componen se mueven más deprisa que cuando el mismo cuerpo se encuentra a menor temperatura. La temperatura es, por tanto, una medida de la energía cinética de las partículas que forman un cuerpo. Temperatura y dilatación Cuando las partículas se mueven a más velocidad, mayor es el espacio que ocupan. Al aumentar la temperatura las partículas se separan, por lo que la sustancia se dilata y aumenta de volumen. Es fundamental tener en cuenta esto en cualquier obra: edificio, carretera, puente, cableado, vía de tren, etc. Se ha de evitar que los cambios de temperatura provoquen deformaciones y roturas; para ello, se dejan unas separaciones llamadas juntas de dilatación. La dilatación y contracción de los cuerpos es uno de los métodos más utilizados para medir la temperatura. Los termómetros son instrumentos que miden la temperatura. En los termómetros de mercurio y alcohol, el líquido, al aumentar la temperatura, se dilata y expande por el tubo y mide la temperatura sobre una escala graduada. |
Se observa que es imposible obtener temperaturas inferiores al cero absoluto. Por lo tanto no existen escalas negativas en escalas absolutas (K y R) |
Calor El calor es energía que se transfiere entre dos cuerpos como consecuencia de su diferencia de temperatura. La transferencia es siempre del cuerpo que está a mayor temperatura al cuerpo que está a menor temperatura. El calor se mide en julios (J) en el Sistema Internacional (SI), otra unidad muy utilizada es la caloría (cal). No es correcto decir que un cuerpo tiene calor, sino que tiene energía y puede transferirla en forma de calor. El calor es energía en tránsito, energía que pasa de un cuerpo a otro. |
El calor se transfiere de la mano a la copa. El calor se transfiere de la taza a las manos |
Equilibrio térmico |

















No hay comentarios:
Publicar un comentario